Artikelbild 1 des Artikels INCOGNITO™ T7 mScript™ Complete N1me psi

INCOGNITO™ T7 mScript™ Complete N1me psi

mRNA Production System

Cellscript

25 Reaktionen

2.090,00 € *

zzgl. MwSt. zzgl. Versandkosten

INCOGNITO™ T7 mScript™ Complete N1me psi -mRNA Production System Das INCOGNITO™ T7... mehr
Produktinformationen "INCOGNITO™ T7 mScript™ Complete N1me psi"

INCOGNITO™ T7 mScript™ Complete N1me psi-mRNA Production System

Das INCOGNITO™ T7 mScript™ Complete N1me psi-mRNA-Produktionssystem enthält alle Enzyme und Reagenzien zur Herstellung von mRNA mit extrem geringer Immunogenität, die N1-Methyl-Pseudouridin (N1me psi) enthält, eine 5'-Cap Struktur und eine 3'-Polyadenylierung hat und einen extrem geringen Gehalt an doppelsträngiger RNA (dsRNA) aufweist. Das Kit enthält Reagenzien für fünf Arbeitsschritte:

  1. In-vitro-Transkription linearer doppelsträngiger DNA-Templates mIt einem T7 Promotor unter Verwendung der T7 mScript™ Enzym-Lösung, der kanonischen Nukleotide ATP, CTP, GTP und des modifizierten Nukleotids N1-Methyl-Pseudouridin-5'-triphosphat (N1me psiTP)
  2. enzymatisches Capping der RNA unter Verwendung des ScriptCap™ Cap 1 Capping Systems (enthält sowohl ScriptCap™ Capping Enzym als auch 2'-O-Methyltransferase) zur Herstellung von mRNA mit einer Cap 1-Cap-Struktur
  3. A-Plus™ Poly(A) Polymerase zum Hinzufügen eines 3'-Poly(A)-Tails
  4. Posttranskriptionelle enzymatische Entfernung von dsRNA unter Verwendung des Min-Immune™ Gold dsRNA Removal Systems
  5. 5 M NH4OAc als bequeme RNA/mRNA-Reinigungsmethode

Nach der Transfektion weisen 5'-gecappte mRNA mit Poly(A) Tail in den meisten eukaryotischen Zelllinien eine erhöhte Stabilität und Translationseffizienz auf. Das INCOGNITO™ mScript™ System erzeugt modifizierte mRNA mit einer Capping-Effiziez von nahezu 100 % und einer vom Anwender definierten Poly(A)-Tail-Länge. Das A-Plus™ Poly(A)-Polymerase-Protokoll bietet eine große Auswahl an Poly(A)-Tail-Längen von 150 bis über 300 Basen. Das enthaltene Min-Immune™ Gold dsRNA-Removal System kann dsRNA auf <0,005 % (LLOQ) in der Probe reduzieren, was weniger ist, als mit gentechnisch veränderten mutierten T7-RNA-Polymerasen erreicht werden kann. Durch seine ultra-niedrige Immunogenität eignet sich das INCOGNITO™ Complete N1me psi-mRNA für den Einsatz in nachgelagerten Anwendungen wie der Zell- und Gentherapieforschung und der Entwicklung von mRNA-Impfstoffen.

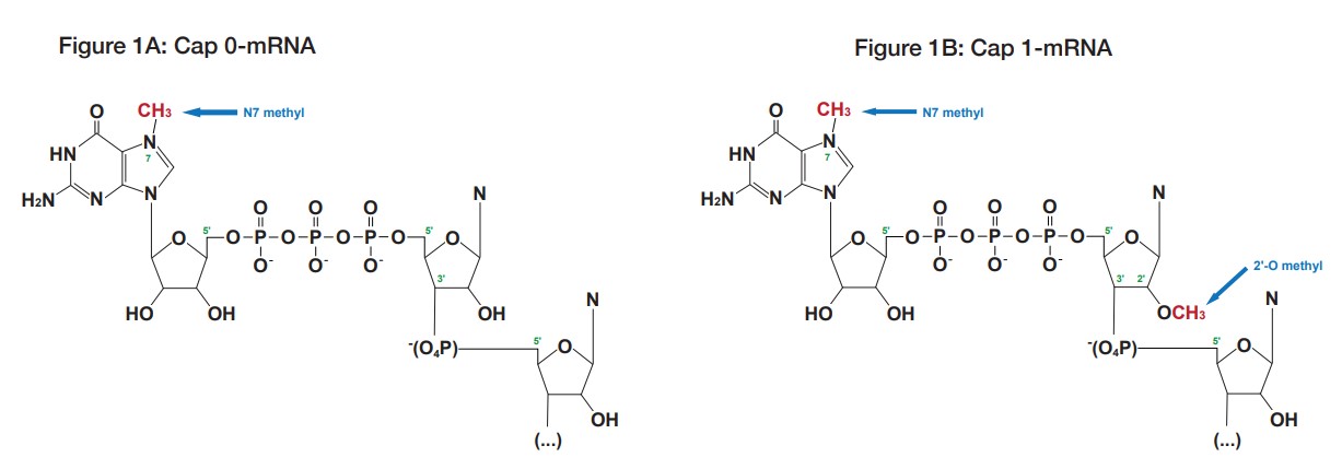
Was ist der Unterschied zwischen Cap 0-RNA und Cap 1-RNA?

 

Abbildung 1: Cap 0-RNA und Cap 1-RNA. Cap 0 wird mit ScriptCap™ Capping Enzyme hinzugefügt und mit 2'-O-Methyltransferase in Cap 1 umgewandelt.

5'-Capping erhöht die mRNA-Stabilität und Translationseffizienz in Zellen im Vergleich zu uncapped RNA, wobei die Cap-1-Methylierung die Translationseffizienz in vivo weiter steigert.

 

Die Vorteile zusammengefasst:

  • Geringere Immunogenität: Synthetisieren Sie Transkripte mit N1me psiTP und niedrigem dsRNA-Gehalt für eine reduzierte Immunantwort.
  • Komplettlösung: Kombinieren Sie Transkription, 5'-Capping, 3'-Tailing und dsRNA-Entfernung in einem System.
  • Hocheffizientes Capping: Erreichen Sie ~100 % 5'-Cap-1-Capping.
  • Anpassbares Poly(A)-Tailing: Erstellen Sie variable 3'-Poly(A)-Tail-Längen von 50 bis >300 Basen.
  • Effektive dsRNA-Entfernung: Eliminiert dsRNA auf <0,005 % (LLOQ) der Probe.

 

Das Produkt ist nur für Forschungszwecke bestimmt (RUO).

Nutzungs- und Labellizenzen für bestimmte Produkte: Der Käufer erhält ein beschränktes, nicht exklusives, nicht übertragbares Recht, die von CELLSCRIPT™ gekauften Produkte ausschließlich für eigene interne Forschungszwecke im Labor zu nutzen. Weitere Informationen finden Sie unter Label License: https://www.cellscript.com/terms-conditions/

 

Mitgelieferte Materialien:

Wichtig Bei -20 °C in einem Gefrierschrank ohne Abtaufunktion lagern. Nicht bei -70 °C lagern.

INCOGNITO™ T7 mScript™ Complete N1me psi-mRNA Production System Kit Contents 25 Reactions. (Module 1 of 5)

Kit Module

Kit Component

Reagent Volume

In Vitro Transcription

T7 mScript™ Enzyme Solution

50 µl

10X T7 mScript™ Transcription Buffer II

50 µl

100 mM Dithiothreitol (DTT)

50 µl

N1me psiTP PreMix

180 µl

25 mM each GTP, ATP, N1me psiTP, CTP

RNase-Free DNase I, 1 U/µl

25 µl

 

INCOGNITO™ T7 mScript™ Complete N1me psi-mRNA Production System Kit Contents 25 Reactions. (Module 2 of 5)

Kit Module

Kit Component

Reagent Volume

Post-Transcriptional Capping

ScriptCap™ Capping Enzyme, 10 U/µl

100 µl

ScriptCap™ 2'-O-Methyltransferase, 100 U/µl

100 µl

10X ScriptCap™ Capping Buffer

250 µl

0.5 M Tris-HCl (pH 8.0), 60 mM KCl and 12.5 mM MgCl2

20 mM S-adenosyl-methionine (SAM)

125 µl

20 mM GTP

125 µl

 

INCOGNITO™ T7 mScript™ Complete N1me psi-mRNA Production System Kit Contents 25 Reactions. (Module 3 of 5)

Kit Module

Kit Component

Reagent Volume

Poly(A) Tailing

A-Plus™ Poly(A) Polymerase, 4 U/µl

130 µl

10X A-Plus™ Poly(A) Tailing Buffer

300 µl

0.5 M Tris-HCl (pH 8.0), 2.5 M NaCl and 100 mM MgCl2

20 mM ATP

150 µl

 

INCOGNITO™ T7 mScript™ Complete N1me psi-mRNA Production System Kit Contents 25 Reactions. (Module 4 of 5)

Kit Module

Kit Component

Reagent Volume

dsRNA Removal

Min-Immune™ Gold RNase III (20X)

150 µl

Min-Immune™ Gold 10X RNase III Treatment Buffer

300 µl

 

INCOGNITO™ T7 mScript™ Complete N1me psi-mRNA Production System Kit Contents 25 Reactions. (Module 5 of 5)

Kit Module

Kit Component

Reagent Volume

Common Usage

ScriptGuard™ RNase Inhibitor, 40 U/µl

90 µl

RNase-Free Water

12 ml

5 M Ammonium Acetate

12 ml

 

T7-Kontroll-Template-DNA: Ist ein linearisiertes 4,1-kb-Plasmid, das einen T7-Promotor gefolgt von einem Phagen-Lambda-dsDNA-Insert enthält, das ein 1.375 Basen langes Runoff-Transkript kodiert. Die Kontroll-Template-DNA wird in einer Konzentration von 0,5 µg/µl in T10E1-Puffer (10 mM Tris-HCl, pH 7,5, 1 mM EDTA) bereitgestellt.

 

Erforderliche, aber nicht mitgelieferte Materialien

  • Eine DNA-Matrize für die Transkription Ihrer RNA von Interesse
  • Materialien oder Kits zur Reinigung der in Vitro transkribierten RNA-Produkts, wenn Sie nicht das mitgelieferte Kit verwenden NH4OAc
  • RNase-freier TE-Puffer (10 mM Tris-HCl, pH 7,5, 1 mM EDTA) nur für die endgültige mRNA-Resuspension, wenn Sie nicht das mitgelieferte Kit verwenden RNase-freies Wasser
  • 70 % Ethanol

Optionale Materialien

  • dsRNA-spezifisches Nachweissystem, einschließlich:
  • dsRNA-spezifischer Antikörper (z. B. J2-Antikörper [Absolute Biotech-Exalpha])
  • Dot/Slot-Blotting-System zur Verwendung mit dem Antikörper
  • Ein Bildanalysegerät zur Visualisierung und/oder Quantifizierung des Blots
  • dsRNA-Standards
  • TE-gesättigtes Phenol/Chloroform, 0,5–1 M EDTA

 

 

Produkttyp: dsRNA Entfernung, IVT Kit plus Capping, modifizierte Nukleotide
Verpackung: 25 Reaktionen
Weiterführende Links zu "INCOGNITO™ T7 mScript™ Complete N1me psi"
INCOGNITO™ T7 mScript™ Complete N1me psi -mRNA Production System Das INCOGNITO™ T7... mehr